レジリエンス研修で期待できる効果

SPARKレジリエンス®︎ 効果検証の結果

2020/12/10 初稿
2023/9/30 改訂

 

レジリエンス研修の効果について調査

「SPARKレジリエンス®」は、2009年にイローナ・ボニウェル博士らによって開発され、欧州やアジア、日本の企業や学校で導入されています。
 
この研修は、レジリエンスや自己肯定感、抑うつの改善などにポジティブな影響をもたらすことが確認されています。
 
開発者のボニウェル博士らは、SPARKレジリエンス®の効果を検証しました。このでは、その研究論文の要旨を紹介します。
 

「SPARKレジリエンス®」の効果を確認

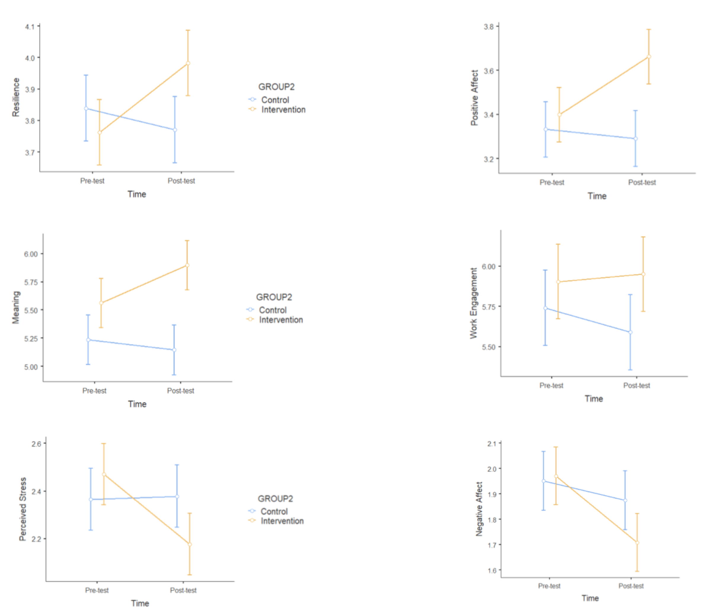
2020年の新型コロナウイルスの影響で、多くの人々がストレスと生活環境の変化により、メンタルヘルスの悪化に直面しました。そこで、ボニウェル博士らは、オンライン版の「SPARKレジリエンス®」を実施しました。
 
対象となったのはフランス人の成人(合計187名)でした。研修は、Zoomを使用したオンラインで、全8回、4週間にわたり実施されました。調査方法として非無作為化のコントロール試験デザインが使用されました。
 

SPARK

 
参加者は介入に対して高い満足度を報告し、心理的な結果として、レジリエンス、意味、ポジティブな影響、認知ストレスの結果に統計的に優位な良い効果がありました(dは0.40〜0.56の範囲)。
 
この研究は、レジリエンスの研修が人々が前例のない課題を克服するのに役立つことを示しています。
 

  • レジリエンスの増加
  • エンゲージメントの上昇
  • ポジティブ感情の改善
  • 意義感の増加
  • ストレスの低減
  • ネガティブ感情の減少
1
 

 

まとめ:レジリエンス研修は効果がある

この調査から、レジリエンスはコーチングや研修、ポジティブな介入を通じて育成可能であることが証明されました。SPARKレジリエンス®は、従業員やチームに対する構造化された研修手法として活用できます。
 
今後、レジリエンス研修の導入で、健全なメンタルを持つ個人・企業・社会を形成することが期待されます。

 
久世浩司(ポジティブサイコロジースクール代表)

 

引用文献

Boniwell I, Osin E, Kalisch L, Chabanne J, Abou Zaki L (2023) SPARK Resilience in the workplace: Effectiveness of a brief online resilience intervention during the COVID-19 lockdown. PLoS ONE 18(3): e0271753. https://doi.org/10.1371/journal.pone.0271753

執筆者の紹介

久世浩司 

認定レジリエンス マスタートレーナー
応用ポジティブ心理学準修士(GDAPP)
 
慶應義塾大学卒業後、P&Gに入社、社会人向けのスクールを設立。レジリエンス研修の普及と講師の育成に取り組む。NHK「クローズアップ現代」などでも取り上げられ、著書による発行部数は20万部以上。研修・講演会の登壇は上場企業から自治体・病院まで100社以上の実績がある。
 

主な著書
『「レジリエンス」の鍛え方』
『なぜ、一流の人はハードワークでも心が疲れないのか?』
『なぜ、一流になる人は「根拠なき自信」を持っているのか?』
『リーダーのための「レジリエンス」入門』
『なぜ、一流の人は不安でも強気でいられるのか?』
『親子で育てる折れない心』
『仕事で成長する人は、なぜ不安を転機に変えられるのか?』
『マンガでやさしくわかるレジリエンス』
『図解 なぜ超一流の人は打たれ強いのか?』
『成功する人だけがもつ「一流のレジリエンス」』
『眠れる才能を引き出す技術』
『一流の人なら身につけているメンタルの磨き方』
『「チーム」で働く人の教科書』


関連記事

レジリエンスを高める3つの方法

仕事でトラブルやストレスを避けることはできません。ストレスに対処するスキルとして「レジリエンス」を身に付ける3つの効果的な方法を解説します。詳細はこちら